• Предмет: Алгебра
  • Автор: sophizstavrecki
  • Вопрос задан 7 лет назад

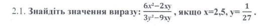
С решением, пожалуйста

Приложения:

Ответы

Ответ дал: oopaaaaaaaaaa
1

Ответ:

Во вложении решение, удачи!!

Объяснение:

Приложения:

sophizstavrecki: Спасибо <3
Вас заинтересует