• Предмет: Алгебра
  • Автор: n13alina2008
  • Вопрос задан 8 лет назад

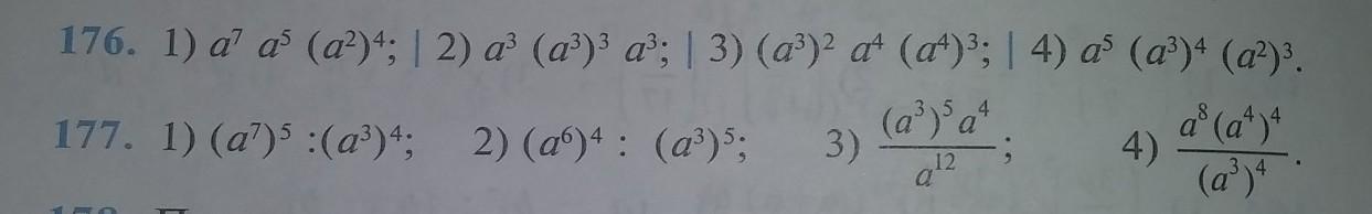
Запишите в виде степени с основанием а

Приложения:

Ответы

Ответ дал: elenamuraweva
2

Ответ:

Решение во вложении

Объяснение:

Приложения:
Вас заинтересует