• Предмет: Алгебра
  • Автор: jjaneee24
  • Вопрос задан 7 лет назад

Срочно помогите АЛГЕБРА
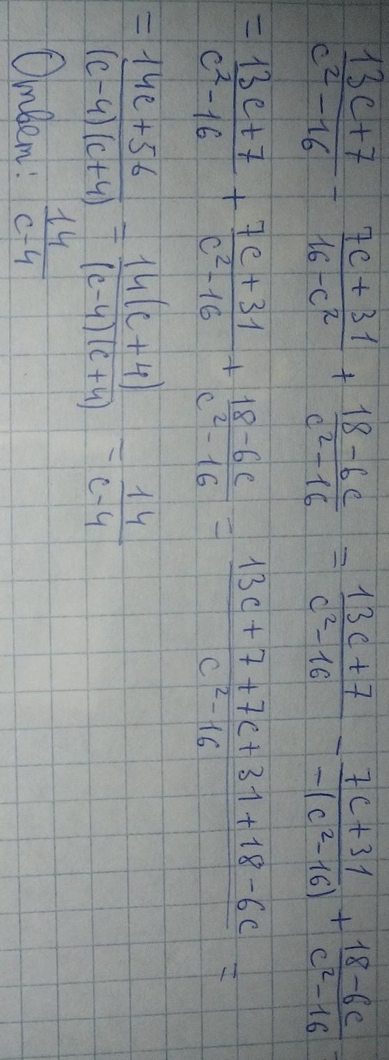
Спростіть вираз

Приложения:

Ответы

Ответ дал: ZlataSergeeva2000
1

Решение:

\dfrac{13c+7}{c^2 - 16}  - \dfrac{7c+31}{16 -c^2}  +\dfrac{18-6c}{c^2 - 16}  =\\ \\ =\dfrac{13c+7}{c^2 - 16}  + \dfrac{7c+31}{c^2-16}  +\dfrac{18-6c}{c^2 - 16}  =\\ \\  =\dfrac{13c+7 +7c +31+18-6c}{c^2 - 16} =\\ \\ = \dfrac{14c+56}{c^2 - 16}  =\dfrac{14(c+4)}{(c+4)\cdot (c - 4)}  = \\\\  =\dfrac{14}{c - 4} .


jjaneee24: Спасибооооо))))
Ответ дал: KatyatheQueen
1
  • Ответ:
  •   \ \frac{14}{c - 4}
  • Объяснение:

Я вынесла за скобки знак минуса;

определила знак дроби;записала все числители над общим знаменателем;привела подобные члены;вычислила сумму;вынесла за скобки общий множитель 14;в конце сократила дробь и получила ответ.

Приложения:
Вас заинтересует