!!!СРОЧНО!! даю 100 балів!!!
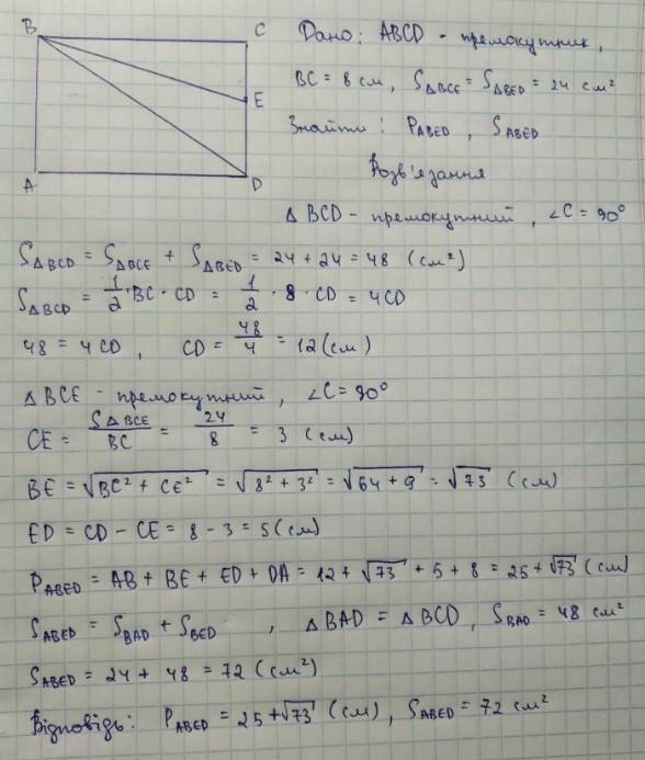
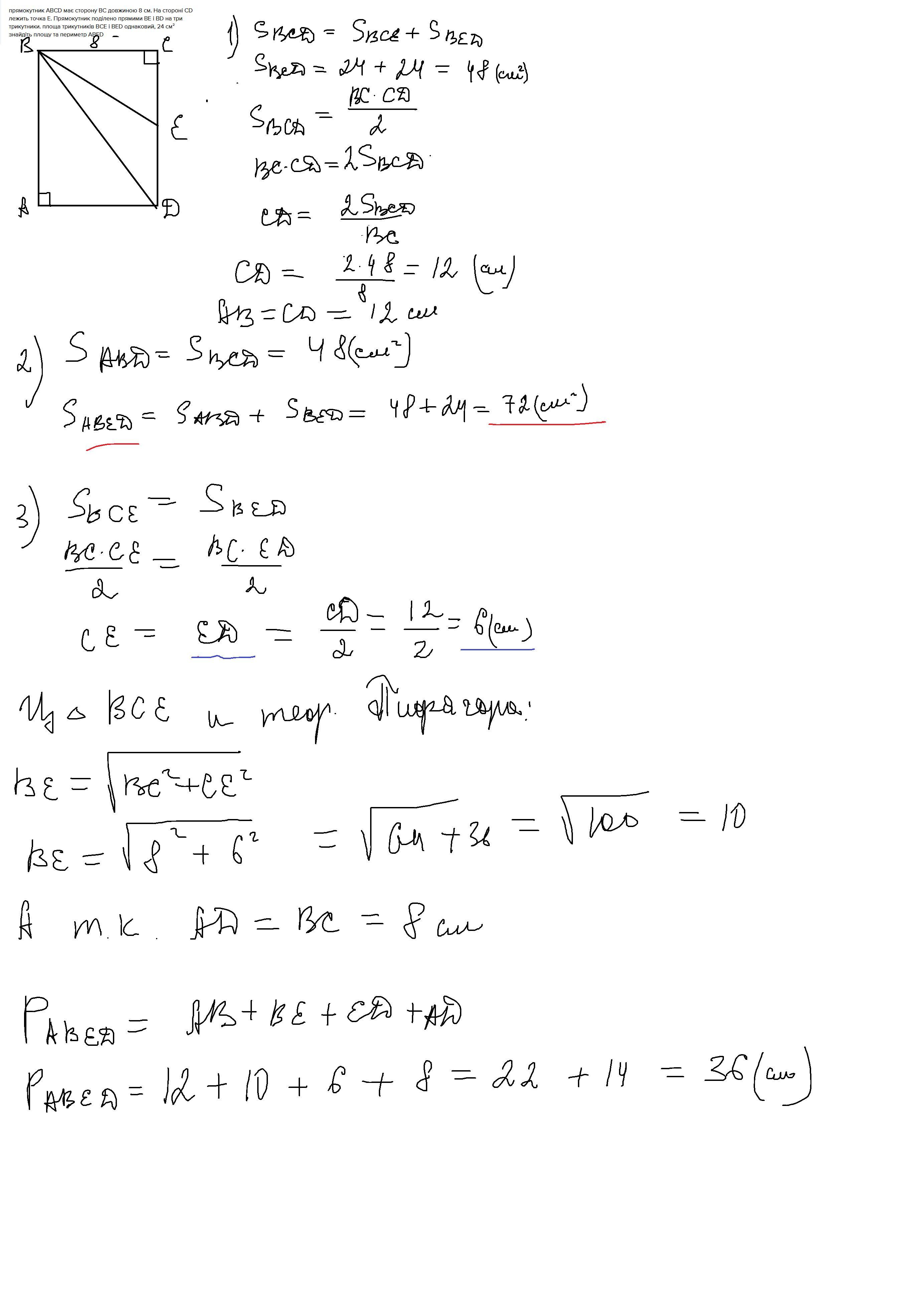
прямокутник ABCD має сторону BC довжиною 8 см. На стороні CD лежить точка E. Прямокутник поділено прямими BE і BD на три трикутники. площа трикутників BCE і BED однаковий, 24 см²
знайдіть площу та периметр ABED
Ответы
Ответ дал:
0
так як малюнок я робила до того, як вирішила задачу, він трохи неправильний: сторони АВ і СD мають бути довші, ніж ВС і AD
Приложения:

Ответ дал:
1
Ответ:
Пошаговое объяснение:
Прямокутник поділено прямими BE і BD на три трикутники.
Приложения:

Вас заинтересует
2 года назад
2 года назад
3 года назад
3 года назад
8 лет назад
9 лет назад