• Предмет: Математика
  • Автор: S1mmy
  • Вопрос задан 7 лет назад

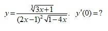
Найти значение производной в точке 0

Приложения:

Ответы

Ответ дал: 13deir
0

Ответ:

Пошаговое объяснение:

решение на фото

Приложения:
Вас заинтересует