Ответы
Ответ дал:
1
Ответ:
надеюсь, что всё понятно)
Приложения:

fidanimanova217:
спасибо
Ответ дал:
1
Ответ:
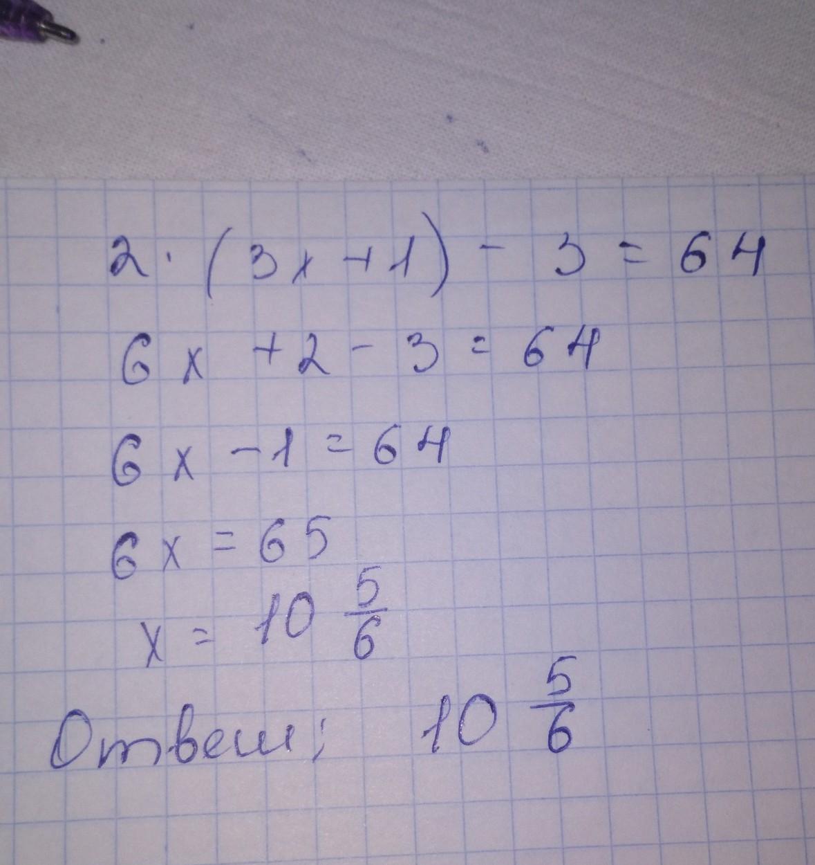
2×(3x+1) -3=64
2*3x+2*1-3=64
-1+6x=64
6x=65
x=65:6
x=
Пошаговое объяснение:
Вас заинтересует
2 года назад
2 года назад
3 года назад
8 лет назад
8 лет назад