• Предмет: Алгебра
  • Автор: hurramovatabek
  • Вопрос задан 8 лет назад

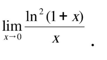
Найти пределы, используя правило Лопиталя:

Приложения:

Ответы

Ответ дал: Аноним
0

\displaystyle \lim_{x \to 0}\dfrac{\ln^2(1+x)}{x}=\lim_{x \to 0}\dfrac{2\ln(1+x)\cdot (\ln (1+x))'}{1}=\lim_{x \to 0}2\ln(1+x)\cdot \dfrac{(1+x)'}{1+x}=\\ \\ \\ \lim_{x \to 0}2\ln(1+x)\cdot \dfrac{1}{1+x}=2\ln 1\cdot \dfrac{1}{1+0}=0

Вас заинтересует