• Предмет: Математика
  • Автор: geymer338
  • Вопрос задан 7 лет назад

ПОЖАЛУЙСТА ПОМОГИТЕ
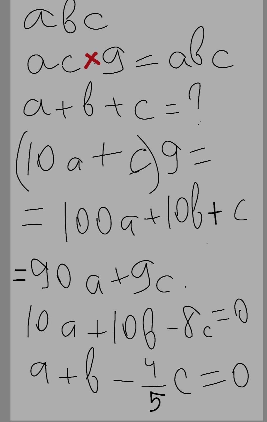
В трёхзначном числе вычеркивают вторую цифру. Получается число, в 9 раз меньшее
исходного. Чему равна сумма цифр исходного числа?​

Ответы

Ответ дал: dragonflyks
0

Ответ:

9

Пошаговое объяснение:

заменила сотни на а, десятки на b, единицы на с.

из последнего выражения видно, чтобы получить 0, надо чтобы с=5, а значит а+b должно равняться 4.

из этого следует, что а+b+c=9.

Приложения:
Вас заинтересует