Ответы
Ответ дал:
1
Ответ:
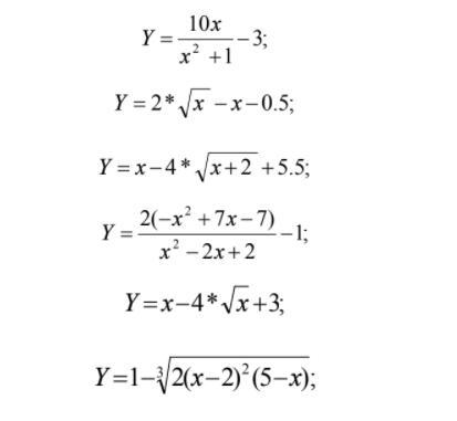
Sub main()
'Чтобы компилятор не ругался
x = 1 ' инициализируем переменную х
y = (10 * x / x * x + 1) - 1
y = 2 * sqrt(x) - x - 0.5
y = x - 4 * sqrt(x + 2) + 5.5
y = (2 * (7 * x - 7 - x * x)) / (x * x - 2 * x + 2) - 1
y = x - 4 * sqrt(x) + 3
y = 1 - (2 * (x - 2) ^ 2 * (5 - x)) ^ (1 / 3) 'Корень это число в дробной степени корень 3й степени число в степени 1/3
End Sub
Объяснение:
Вас заинтересует
2 года назад
2 года назад
3 года назад
3 года назад
9 лет назад
9 лет назад
10 лет назад