Ответы
Ответ дал:
0
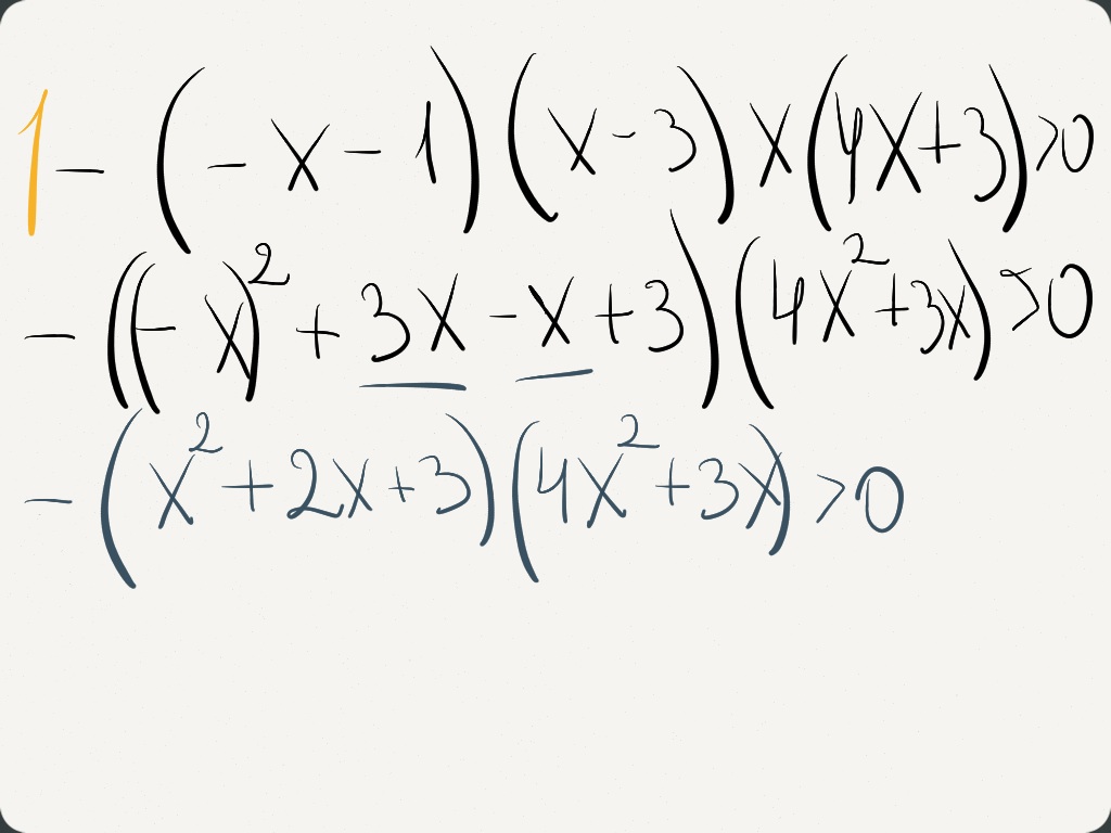
сначала приводим это выражение, можно сказать, в приличный вид (выносим множители, чтобы х было без дополнительного множителя, выносим миннус)
тогда получается:
(х + 1)(х - 3)х(х+3/4) > 0
дальше решаем как обычно методом интервалов: (нули скобок выделяем, расставляем их на оси ОХ)
(не знаю как бы это по-лучше изобразить, но уж как получится))
-1 -3/4 0 3
-------·--------·-------·--------·------------> X (потом расставляем плюсы минусы)
- + - + -
нам подходят участки с плюсом (так как выражение больше нуля)
тогда сразу ответ:
x ∈ [-1;-3/4] объединяется с [0;3]
тогда получается:
(х + 1)(х - 3)х(х+3/4) > 0
дальше решаем как обычно методом интервалов: (нули скобок выделяем, расставляем их на оси ОХ)
(не знаю как бы это по-лучше изобразить, но уж как получится))
-1 -3/4 0 3
-------·--------·-------·--------·------------> X (потом расставляем плюсы минусы)
- + - + -
нам подходят участки с плюсом (так как выражение больше нуля)
тогда сразу ответ:
x ∈ [-1;-3/4] объединяется с [0;3]
Ответ дал:
0
Смотри во вложениях)))))))
Приложения:
Вас заинтересует
3 года назад
3 года назад
8 лет назад
8 лет назад
11 лет назад
11 лет назад