• Предмет: Математика
  • Автор: kiladsemaja
  • Вопрос задан 7 лет назад

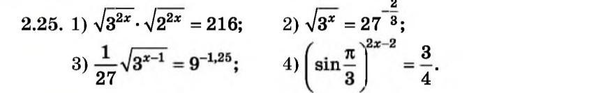
решите пожалуйста) 2. 25(1,3)​

Приложения:

Ответы

Ответ дал: zepetoxzxz
1

Ответ:

ответ на фото прааильный, делала 1,3 как вы и просили

Приложения:

kiladsemaja: спасибо ❤️
Вас заинтересует