Ответы
Ответ дал:
1
Ответ:
1)
Пошаговое объяснение:
решение внизу
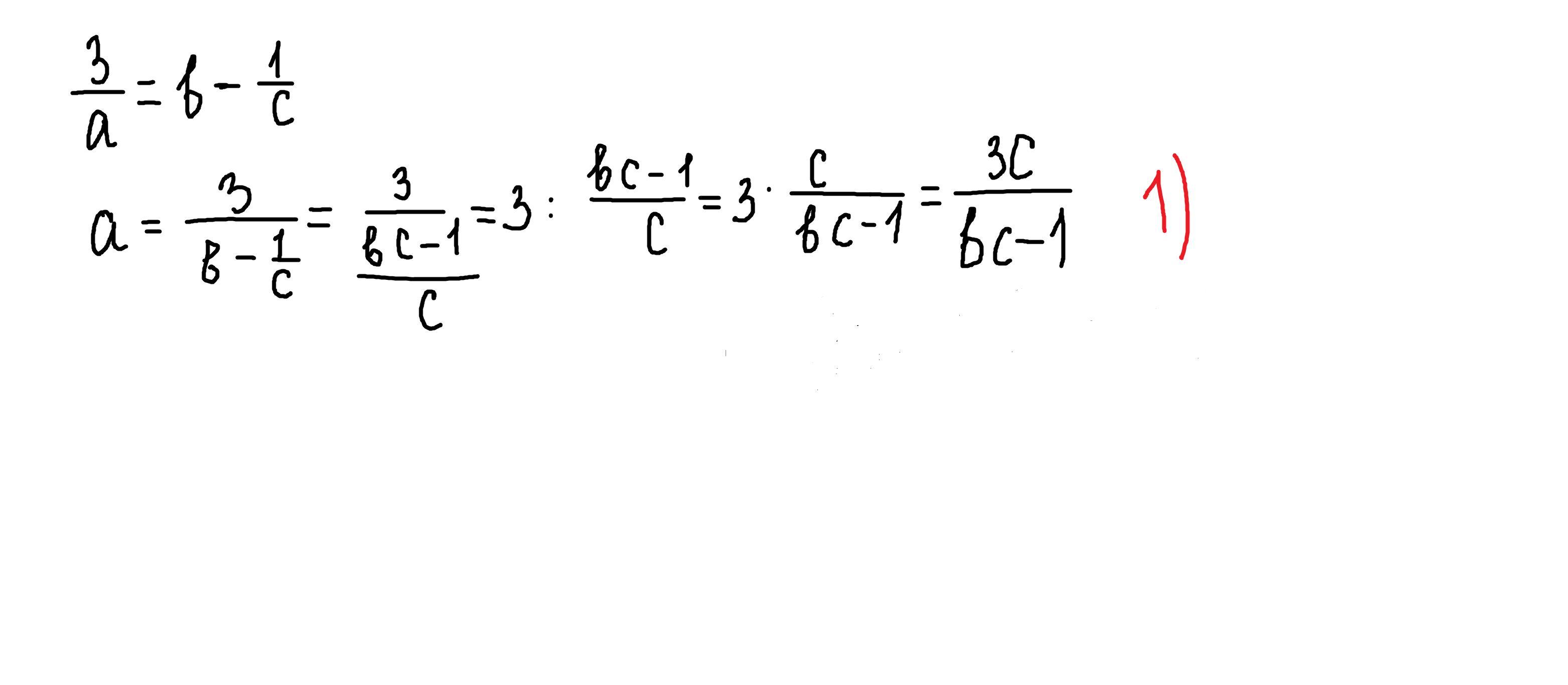
здесь а -делитель.Чтобы найти делитель,надо делимое разделить на частное.
Приложения:

Вас заинтересует
2 года назад
2 года назад
3 года назад
3 года назад
8 лет назад
9 лет назад