• Предмет: Математика
  • Автор: dmitrijrizak
  • Вопрос задан 7 лет назад

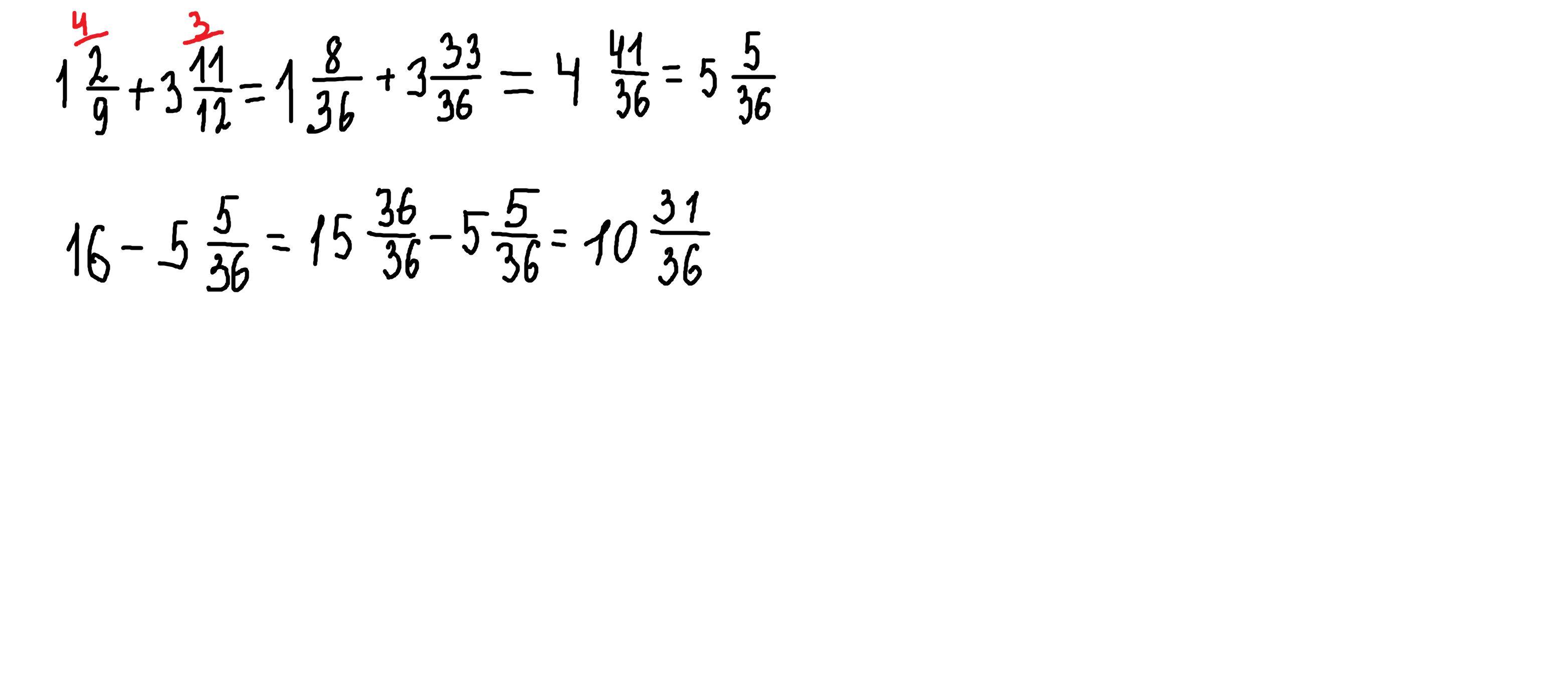
16 - (1 2/9 + 3 11/12) =

Ответы

Ответ дал: dyexfnf
0

Ответ:

Пошаговое объяснение:

16 - (1 2/9 + 3 11/12) = 16 - (11/9 + 47/12) = 16- (44/36 + 141/36)=

= 16 - 185/36 = 16 - 5 5/36= 10 31/36

Ответ дал: parus77
0

Ответ:

10 31\36

Пошаговое объяснение:

решение внизу

Приложения:
Вас заинтересует