• Предмет: Математика
  • Автор: Аноним
  • Вопрос задан 7 лет назад

помогите!!!!!!!!!!!!!!!!!!​

Приложения:

Ответы

Ответ дал: elenamuraweva
1

Ответ:

10 1/3

Пошаговое объяснение:

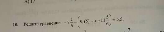
-7 1/6-(9,5-x-11 5/6)=5,5

-43/6-9,5+x+71/6=5,5

x=5,5+43/6+9,5-71/6

x=15-28/6

x=14 6/6-4 4/6

x=10 1/3

Ответ дал: Аноним
1

ответ во вложениииии..........

Приложения:
Вас заинтересует