• Предмет: Математика
  • Автор: dinysmelish
  • Вопрос задан 7 лет назад

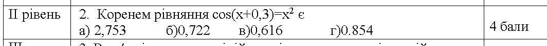
допоможіть пожалуста результат як знаходили треба розписати​.
Решається методом розділеного ділення

Приложения:

Ответы

Ответ дал: Danylo788
0

Ответ:

Пошаговое объяснение:

Ответ В


dinysmelish: а можна розписати
dinysmelish: як ти це робив
dinysmelish: скинути фото як це робиться
Вас заинтересует