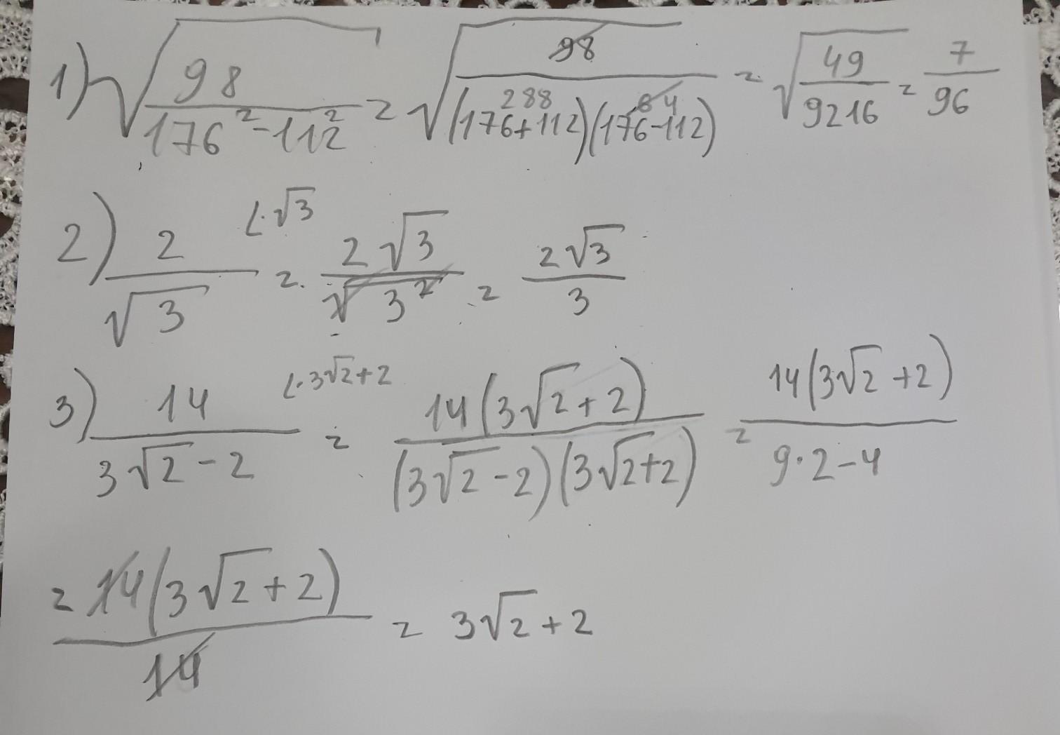
1) Вычислите, применив формулу сокращённого умножения.

2) Освободить от иррациональности в знаменателе дроби:
а) 
в)
Ответы
Ответ дал:
1
Ответ:
Вот,надеюсь понятно.Будут вопросы-обращайтесь
Приложения:

Ответ дал:
1
ответ во вложении............
Приложения:

Вас заинтересует
2 года назад
2 года назад
3 года назад
3 года назад
8 лет назад
9 лет назад