• Предмет: Математика
  • Автор: ilona4911
  • Вопрос задан 8 лет назад

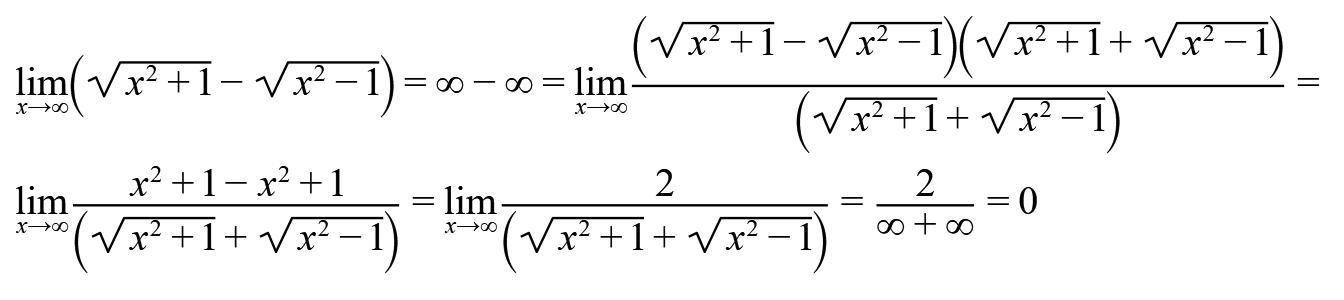
знайти границі функції

Приложения:

Ответы

Ответ дал: palilov243659
0

Ответ:

0

Пошаговое объяснение:

//////////////////////////////

Приложения:
Вас заинтересует