постройте график у=
и к нему же вопрос: сколько общих точек с графиком функции может иметь прямая у=m
Приложения:
Ответы
Ответ дал:
0
Нужно уравнение разделить на 2 части, дабы избавиться от модулей: когда x>0 и когда x<0.
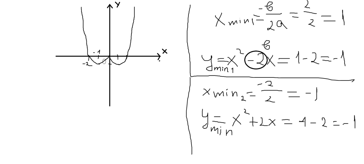
x>0 y = x^2 - 2x
x<0 y = x^2 + 2x
Так как это 2 параболы, то нужно найти их вершины и нули. Координата х точки вершины находится через формулу x = -b2a. После находим координату у точки вершины простой подстановкой в уравнение.
Чтобы найти нули просто приравняем оба уравнения к нулю, и найдем точки пересечения двух парабол с осью х.
Из графика следует, что при m>0 и при m = -2 функция y = m имеют две общих точки, при -2<m<0 - 4 общих точки, при m = 0 - 3 общих точки.
P.S. Извиняюсь за корявый рисунок, делал его чисто для наглядности.
x>0 y = x^2 - 2x
x<0 y = x^2 + 2x
Так как это 2 параболы, то нужно найти их вершины и нули. Координата х точки вершины находится через формулу x = -b2a. После находим координату у точки вершины простой подстановкой в уравнение.
Чтобы найти нули просто приравняем оба уравнения к нулю, и найдем точки пересечения двух парабол с осью х.
Из графика следует, что при m>0 и при m = -2 функция y = m имеют две общих точки, при -2<m<0 - 4 общих точки, при m = 0 - 3 общих точки.
P.S. Извиняюсь за корявый рисунок, делал его чисто для наглядности.
Приложения:
Вас заинтересует
3 года назад
8 лет назад
8 лет назад
11 лет назад
11 лет назад
11 лет назад