• Предмет: Алгебра
  • Автор: mariaonipko491
  • Вопрос задан 7 лет назад

Даю 100 балов ПОМОГИТЕ ПЖ​

Приложения:

Ответы

Ответ дал: MizoriesKun
0

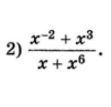
\frac{x^{-2}+x^{3}  }{x+x^{6} } =\frac{x^{-2}*(1+x^{5})  }{x*(1+x^{5} )} =\frac{x^{-2} }{x} =\frac{1}{x^{2} *x} =\frac{1}{x^{3} }

Вас заинтересует