Ответы
Ответ дал:
1
Ответ:
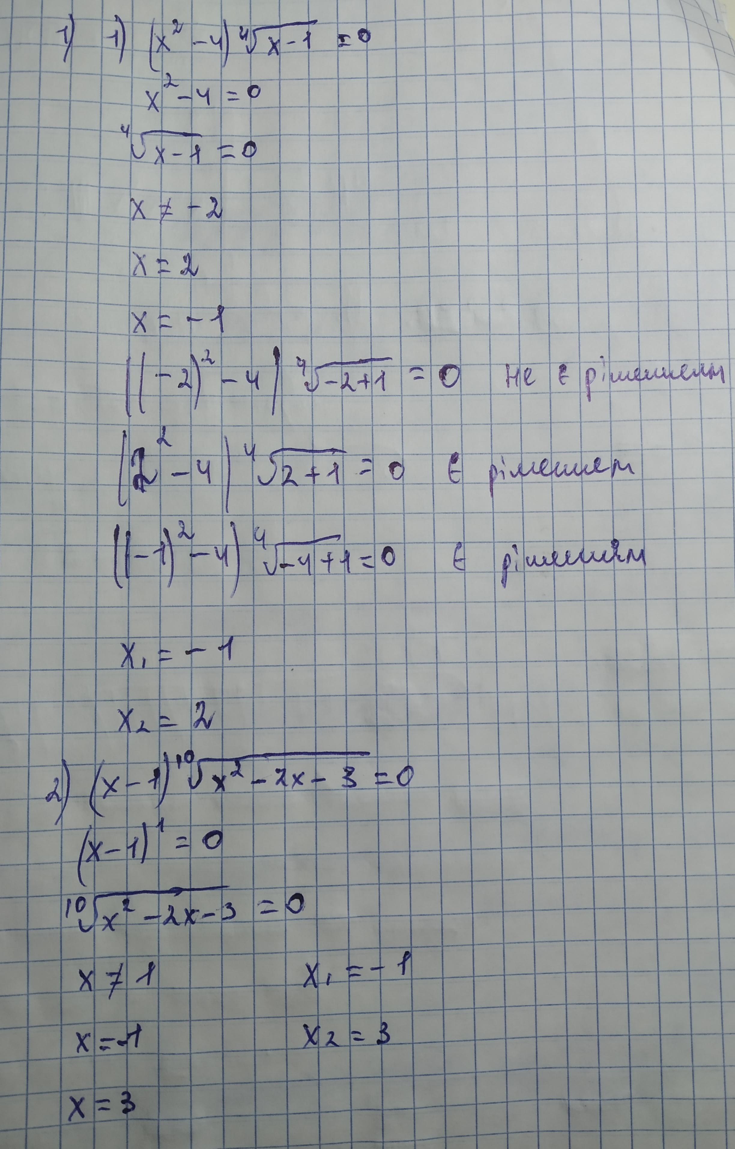
1) х1 = -1 х2 = 2
2) х1 = -1 х2 = 3
Приложения:

Вас заинтересует
2 года назад
2 года назад
3 года назад
8 лет назад
9 лет назад