• Предмет: Алгебра
  • Автор: Аноним
  • Вопрос задан 7 лет назад

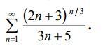
Исследовать числовой ряд на сходимость.

Приложения:

Ответы

Ответ дал: NNNLLL54
1

Ответ:

\displaystyle \sum \limits _{n=1}^{\infty }\, \dfrac{(2n+3)^{n/3}}{3n+5}\\\\\\\lim\limits _{n \to \infty}\, \dfrac{a_{n+1}}{a_{n}}=\lim\limits_{n \to \infty}\, \dfrac{(2n+5)^{n+1/3}}{3n+8}:\dfrac{(2n+3)^{n/3}}{3n+5}=\lim\limits_{n \to \infty}\, \dfrac{(2n+5)^{\frac{n+1}{3}}}{3n+8}\cdot \dfrac{3n+5}{(2n+3)^{\frac{n}{3}}}=\\\\\\=\lim\limits_{n \to \infty}\, \frac{(2n+5)^{\frac{n}{3}+\frac{1}{3}}}{(2n+5)^{\frac{n}{3}}}=\lim\limits_{n \to \infty}\, (2n+5)^{\frac{1}{3}}=\infty >1

ряд расходится

Вас заинтересует