• Предмет: Алгебра
  • Автор: krlyudmila
  • Вопрос задан 7 лет назад

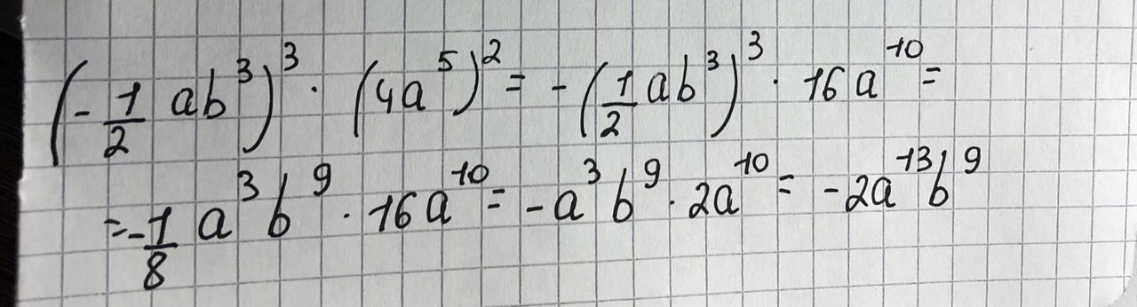
(-1/2ab³)³×(4a⁵)²
Срочно 10 баллов

Ответы

Ответ дал: Аноним
1

Ответ на фотографии.

Приложения:
Ответ дал: svetlana170726
0

(-\frac{1}{2}ab^3)^3\cdot(4a^5)^2=-(\frac{1}{2}ab^3)^3\cdot16a^1^0=-\frac{1}{8}a^3b^9\cdot16a^1^0=-a^3b^9\cdot2a^1^0=-2a^1^3b^9

Вас заинтересует