Ответы
Ответ дал:
1
Ответ:
ответ Б
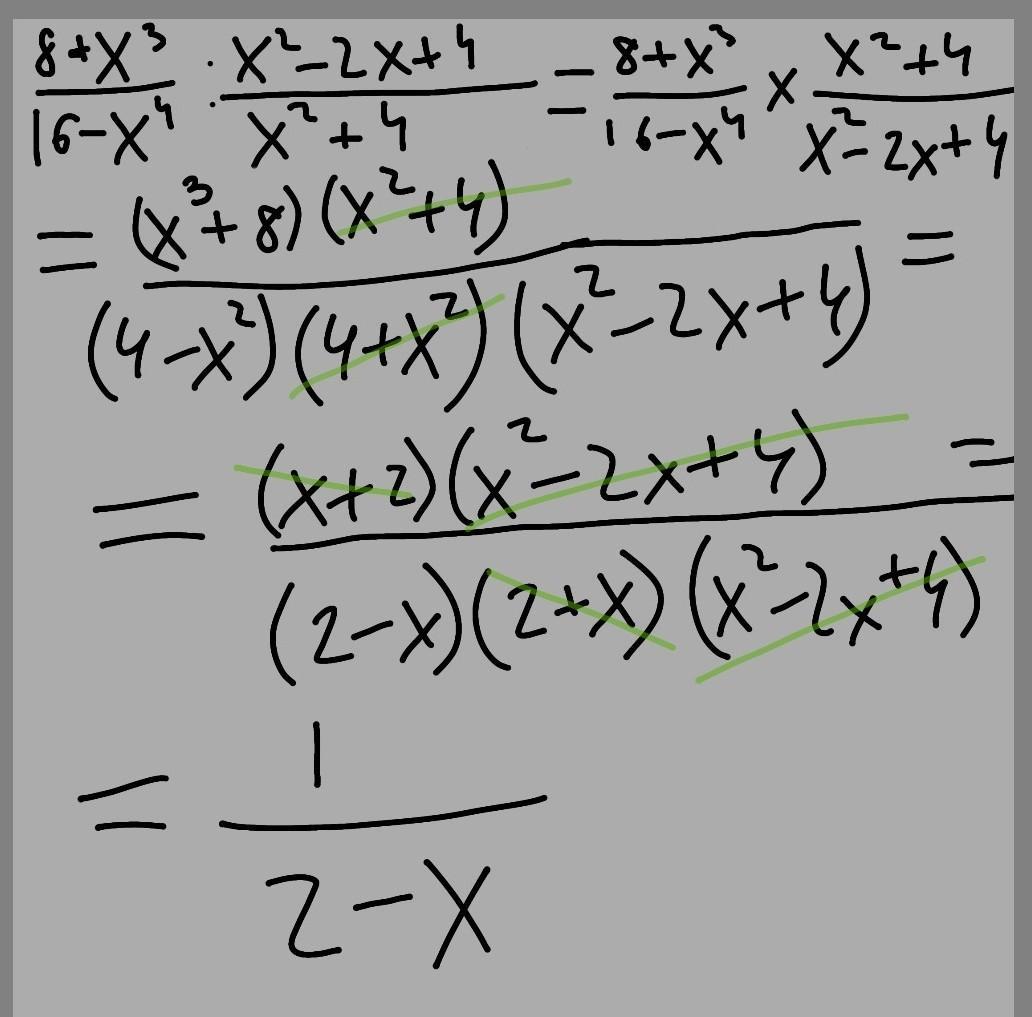
Объяснение:
решение на фото
удачи
Приложения:

nastia3782:
спасибо
Вас заинтересует
3 года назад
8 лет назад