Ответы
Ответ дал:
0
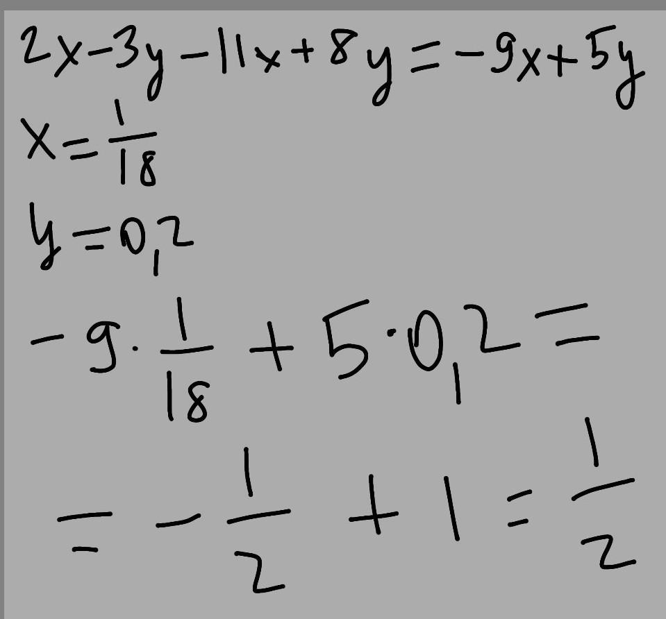
Ответ:
0,5
Объяснение:
0,5 или 1/2 или 2-¹
надеюсь помогут
elka07102008:
Поставь лучший пожалуйста
Ответ дал:
1
Ответ:
4. при х=-12 не имеет смысла, потому что на 0 делить нельзя
5. решение на фото
Объяснение:
удачи
Приложения:

Вас заинтересует
2 года назад
2 года назад
3 года назад
3 года назад
8 лет назад
9 лет назад