• Предмет: Математика
  • Автор: dusyaterzi
  • Вопрос задан 7 лет назад

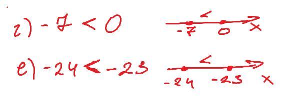
Впишите один из знаков сравнения ( < , = или > ) : г ) - 7 0 ; е) - 24 - 23.

Ответы

Ответ дал: skala
0

Ответ:

Фото

Пошаговое объяснение:

Приложения:
Вас заинтересует