• Предмет: Математика
  • Автор: kirasergienko3
  • Вопрос задан 7 лет назад

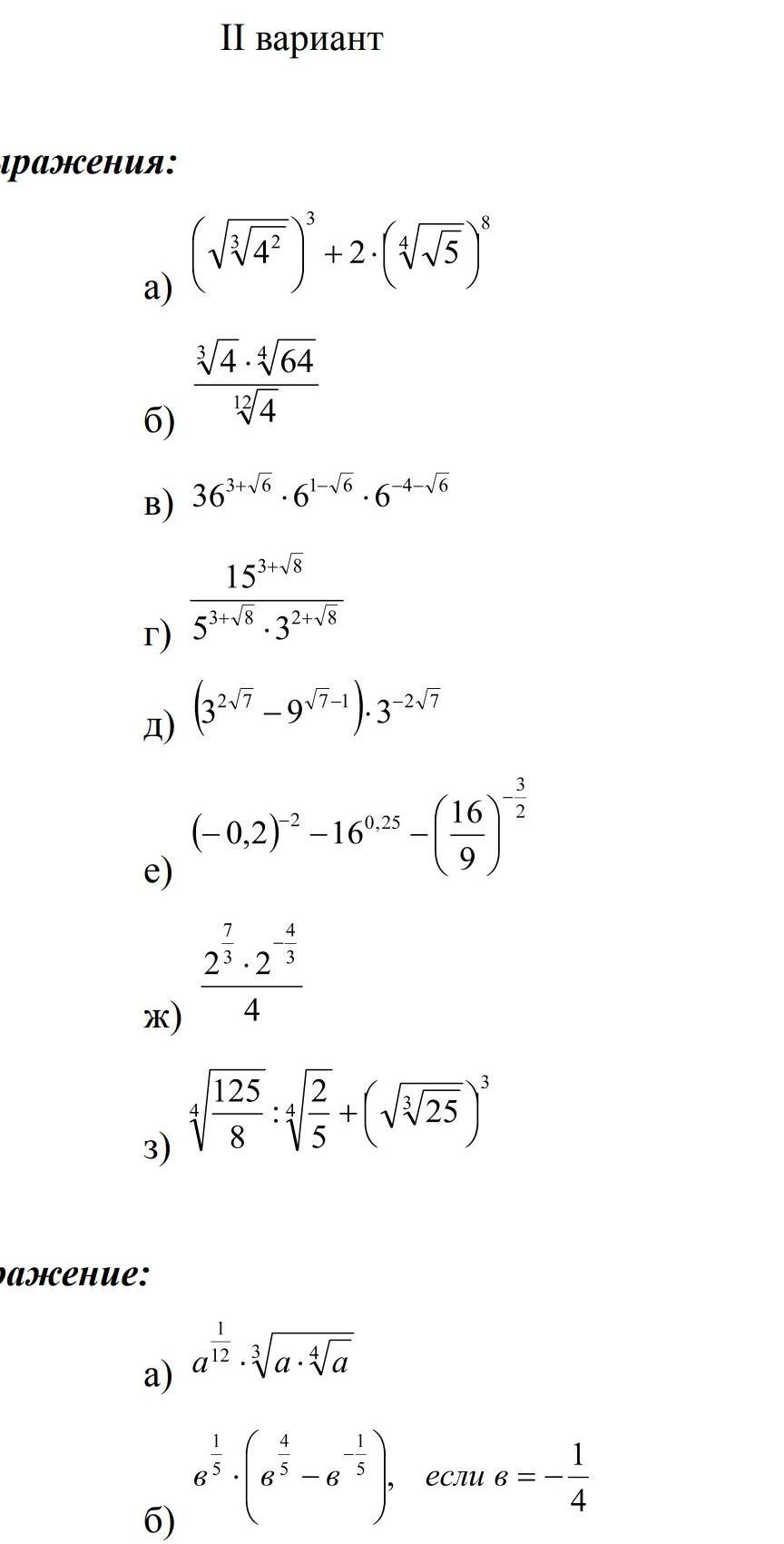
ПОМОГИТЕ ПОЖАЛУЙСТА!! ​ДАЮ 40 БАЛЛОВ МНЕ ТОЛЬКО В 1 ЗАДАНИИ ПОД Е Ж З

Приложения:

Ответы

Ответ дал: NNNLLL54
1

Ответ:

e)\ \ (-0,2)^{-2}-16^{0,25}-\Big(\dfrac{16}{9}\Big)^{-\frac{3}{2}}=\Big(-\dfrac{1}{5}\Big)^{-2}-16^{\frac{1}{4}}-\Big(\dfrac{3^2}{4^2}\Big)^{\frac{3}{2}}=\\\\\\=(-5)^2-(2^4)^{\frac{1}{4}}-\dfrac{3^3}{4^3}=25-2-\dfrac{27}{64}=\dfrac{1445}{64}=22\dfrac{37}{64}

ж)

    \displaystyle \frac{2^{\frac{7}{3}}\cdot 2^{-\frac{4}{3}}}{4}=\frac{2^1}{2^2}=\frac{1}{2}=0,5

з)

  \displaystyle \sqrt[4]{\frac{125}{8}}:\sqrt[4]{\frac{2}{5}}+\Big(\sqrt{\sqrt[3]{25}}\Big)^3=\sqrt[4]{\frac{125}{8}\cdot \frac{5}{2}}+\sqrt{(\sqrt[3]{25})^{^3}}=\sqrt[4]{\frac{5^4}{2^4} } +\sqrt{25}=\\\\\\=\frac{5}{2}+5=2,5+5=7,5

Вас заинтересует