помогите пожалуйста
Приложения:
zuhraavazbekova:
помогите пожалуйста
делите задания - модератор может удалить
Ответы
Ответ дал:
0
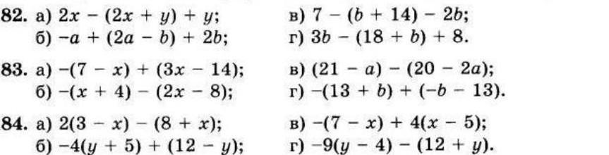
82
а) 0
б) a+b
в) -7–3b
г) 2b-10
83
а) -21+4х
б) -3х+4
в) 1+а
г) -26-2b
84
а) -2-3х
б) -5у-8
в) -27+5х
г) -10у+24
а) 0
б) a+b
в) -7–3b
г) 2b-10
83
а) -21+4х
б) -3х+4
в) 1+а
г) -26-2b
84
а) -2-3х
б) -5у-8
в) -27+5х
г) -10у+24
Вас заинтересует
2 года назад
3 года назад
3 года назад
9 лет назад
9 лет назад
10 лет назад