• Предмет: Математика
  • Автор: IMPERATORBOY
  • Вопрос задан 8 лет назад

2 1+2x ** + 3x 10 X-3 5 x? -9​

Приложения:

Ответы

Ответ дал: NNNLLL54
0

Ответ:

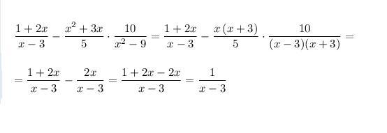
\displaystyle \frac{1+2x}{x-3}-\frac{x^2+3x}{5}\cdot \frac{10}{x^2-9}=\frac{1+2x}{x-3}-\frac{x\, (x+3)}{5}\cdot \frac{10}{(x-3)(x+3)}=\\\\\\=\frac{1+2x}{x-3}-\frac{2x}{x-3}=\frac{1+2x-2x}{x-3}=\frac{1}{x-3}                        

Приложения:
Вас заинтересует