Ответы
Ответ дал:
1
Ответ:
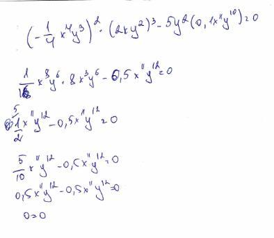
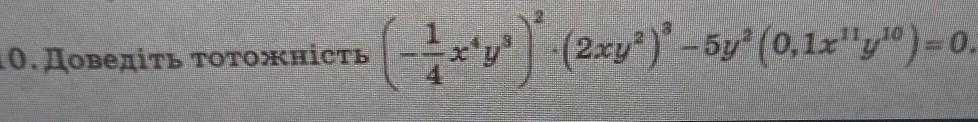
ответ во вложении
Пошаговое объяснение:
Приложения:

miladka2009:
святой человек спасиьо
Вас заинтересует
2 года назад
2 года назад
8 лет назад
9 лет назад
9 лет назад