Ответы
Ответ дал:
0
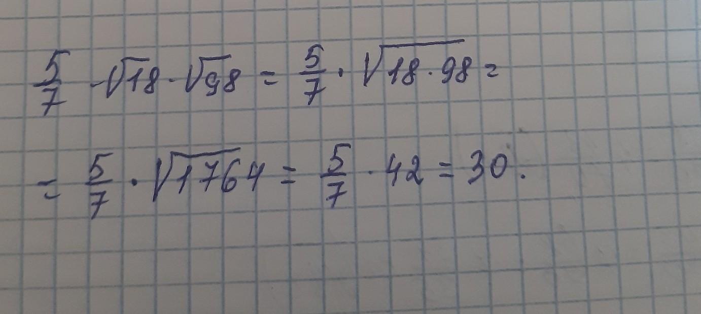
5/7 •3корня из 2• 7 корней из 2= 5•3•2=30
Ответ дал:
1
Пошаговое объяснение:
см фото,,,,,,,,,,,,,,,,,,,,,,,,,,
Приложения:

Лилософ:
топ! спасибо огромное!
Вас заинтересует
2 года назад
2 года назад
3 года назад
3 года назад
8 лет назад
9 лет назад