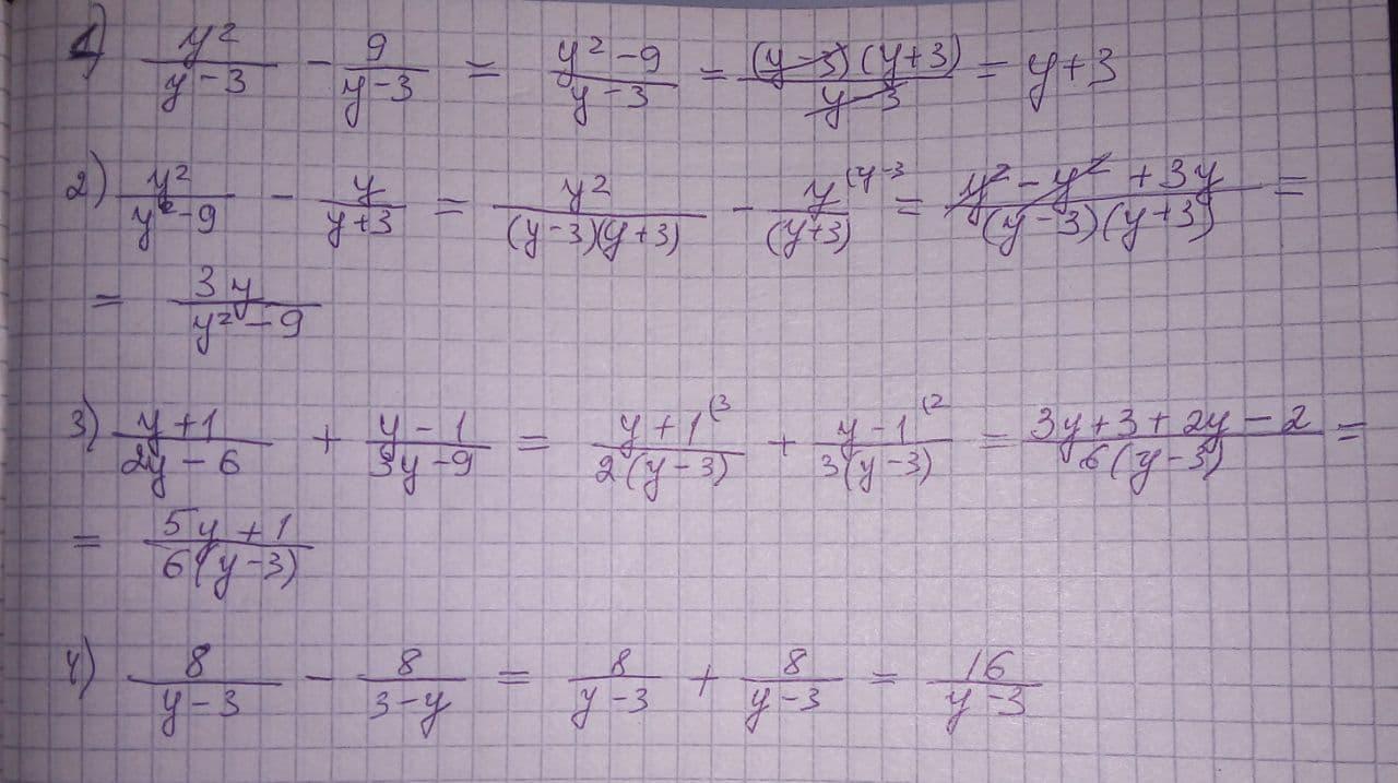
ПЖ СРОЧНООООвстановити відповідність між виразами 1-4 та виразами їм тотожно рівними а-д
Приложения:

Ответы
Ответ дал:
1
Відповідь:
1В, 2Г, 3Д, 4Б
Покрокове пояснення:
Приложения:

Вас заинтересует
2 года назад
2 года назад
3 года назад
3 года назад
8 лет назад
9 лет назад
9 лет назад