Ответы
Ответ дал:
1
x{-4,5}
Пошаговое объяснение:
4х - 20 < 0
x +12>8
x<5
x>-4
Ответ дал:
2
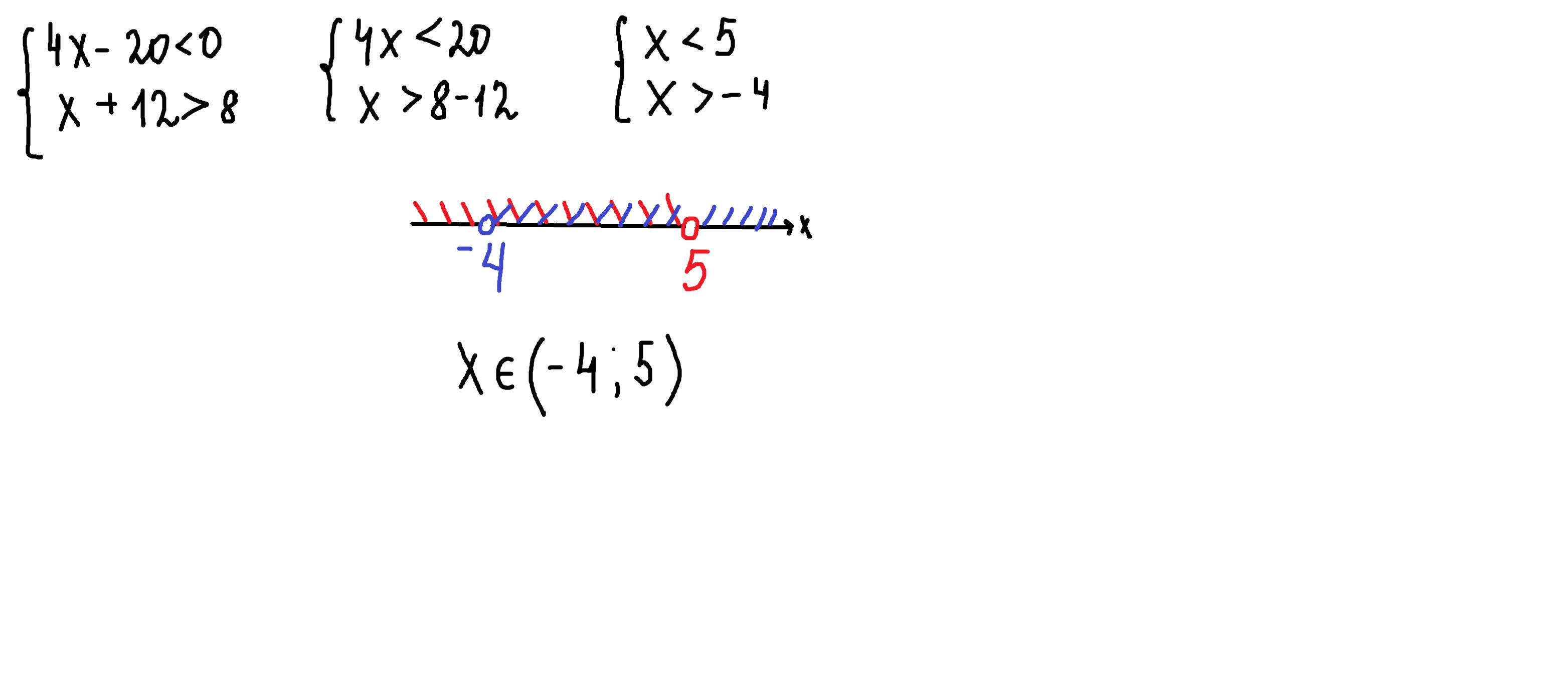
Ответ:
x∈(-4;5)
Пошаговое объяснение:
решение внизу
Приложения:

Вас заинтересует
2 года назад
2 года назад
3 года назад
3 года назад
8 лет назад
9 лет назад