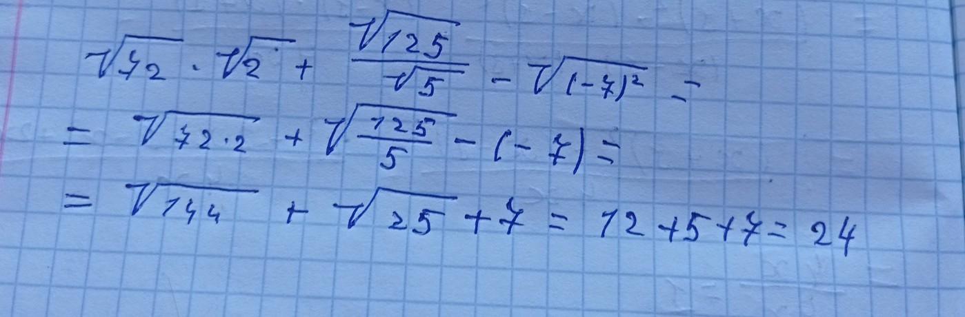
3.!!!Вычислите используя свойства арифметического квадратного корня: V72 x V2+V125/V5-V(-7)^2.
Приложения:

Ответы
Ответ дал:
0
Ответ:
24
Объяснение:
Решение приведено в файле.
Приложения:

Вас заинтересует
2 года назад
2 года назад
3 года назад
3 года назад
8 лет назад
8 лет назад
9 лет назад