Спростити вираз: 7х(2х – 5) – 5(4х – 3х) – 0,4х *
Пж помогите!
Аноним:
где звездочка не нужна?
Ответы
Ответ дал:
1
Ответ:
14х в квадрате - 35х - 20х +15х -0, 4 х= 14х в квадрате +29.6х
Объяснение:
одночлен умножаем на многочлен получаем : см, думаю будет так
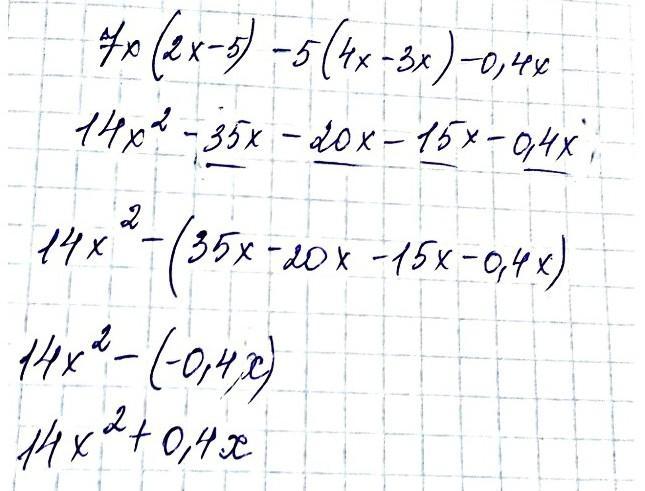
Ответ дал:
2
ваш ответ во вложении......
Приложения:

Вас заинтересует
2 года назад
2 года назад
3 года назад
3 года назад
8 лет назад
8 лет назад
9 лет назад
9 лет назад