• Предмет: Алгебра
  • Автор: ksyunechka98
  • Вопрос задан 10 лет назад

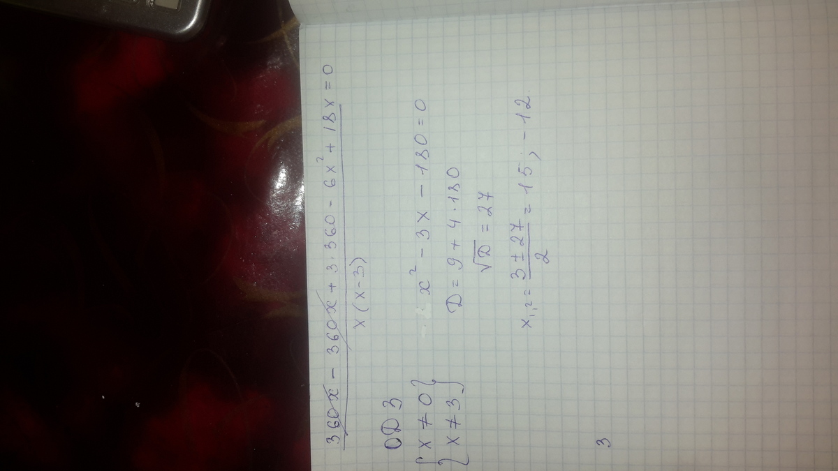
 frac{360x-360(x-3)-6x(x-3)}{x(x-3)} =0
 frac{360x-360x+1080-6 x^{2}+18x}{x(x-3)} =0

Ответы

Ответ дал: prostomama1
0
"""""""""""""""""""""""""""""""""""""""
Приложения:
Вас заинтересует