• Предмет: Алгебра
  • Автор: artyommayak
  • Вопрос задан 8 лет назад

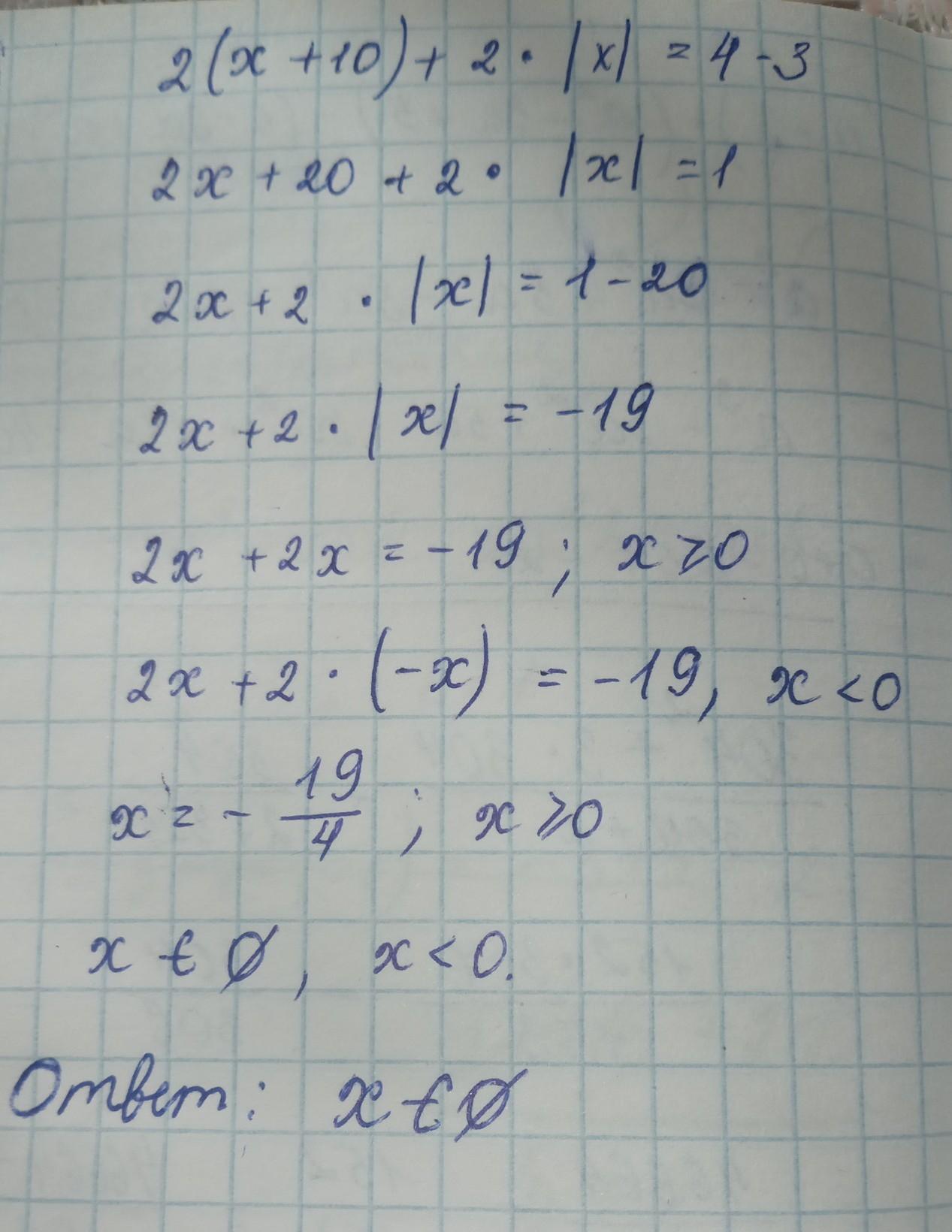
2 (х+10) + 2 |х| = 4-3​


Аноним: у меня?
Аноним: да
Аноним: я же его сразу посчитал
Аноним: 4-3 это 1
Аноним: нет я не про это
Аноним: я про другое
Аноним: Извините, что отнимаю ваше время, но вы не могли бы мне помочь?
Аноним: завтра?
artyommayak: чем ?
Аноним: попробую

Ответы

Ответ дал: Аноним
1

см. вложение.............

Приложения:

Аноним: здравствуйте вы не могли бы вы мне помочь с алгеброй завтра пожалуйста умоляю
artyommayak: Всмысле ?
Вас заинтересует