Ответы
Ответ дал:
1
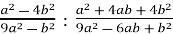
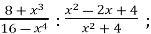
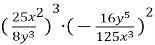
Ответ:
Объяснение:
♥️♥️♥️♥️
Приложения:

sasaharena05788:
я 3 не понимаю
Вас заинтересует
2 года назад
2 года назад
3 года назад
8 лет назад
8 лет назад
9 лет назад