• Предмет: Алгебра
  • Автор: diyorhay0227
  • Вопрос задан 8 лет назад

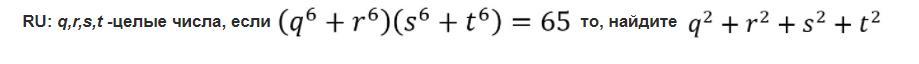
Помогите с алгеброй пожалуйста срочно надо дам 20 баллов

Приложения:

Ответы

Ответ дал: Fellowship
0

Разложим число 65 на простые множители: 65=13*5.

Учитывая, что обе скобки неотрицательные, т.к. слагаемые в них в четных степенях, то скобки могут равняться 5 и 13, или 1 и 65.

Равенство скобок числам 5 и 13 исключаем, поскольку 5=3+2 или 4+1 (с точностью до перестановки слагаемых) и каждое из слагаемых не является 6 степенью какого-либо целого числа.

Значит скобки равны 65 и 1. А это значит, что одно из слагаемых какой-то скобки равно ±1, а второе слагаемое этой же скобки равно 0.

65 представимо в виде суммы двух 6-ых степеней только как сумма 1+64, т.е. слагаемые равны ±1 и ±2.

Итак, q^2+r^2+s^2+t^2=2^2+1^2+0^2+1^2=6.

Ответ: 6.

Вас заинтересует