Ответы
Ответ дал:
1
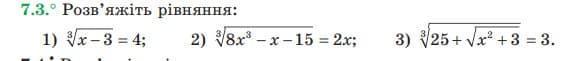
Ответ на фотографии.
Приложения:

anastasiazipper:
Спасибо!
Вас заинтересует
2 года назад
2 года назад
3 года назад
3 года назад
8 лет назад
8 лет назад
9 лет назад