Ответы
Ответ дал:
1
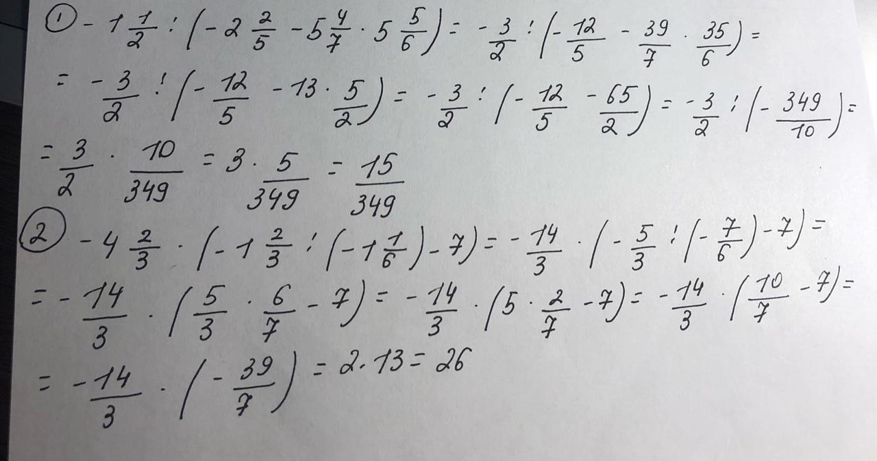
Ответ на фотографии.
Приложения:

DonSERG:
помогите пожалуйста https://znanija.com/task/46294705
Ответ дал:
0
вот держи твой ответ
на листке все расписал
ОБЪЯСНЕНИЕ:
на листке все расписал
ОБЪЯСНЕНИЕ:
Приложения:

Вас заинтересует
3 года назад
8 лет назад
9 лет назад