Ответы
Ответ дал:
0
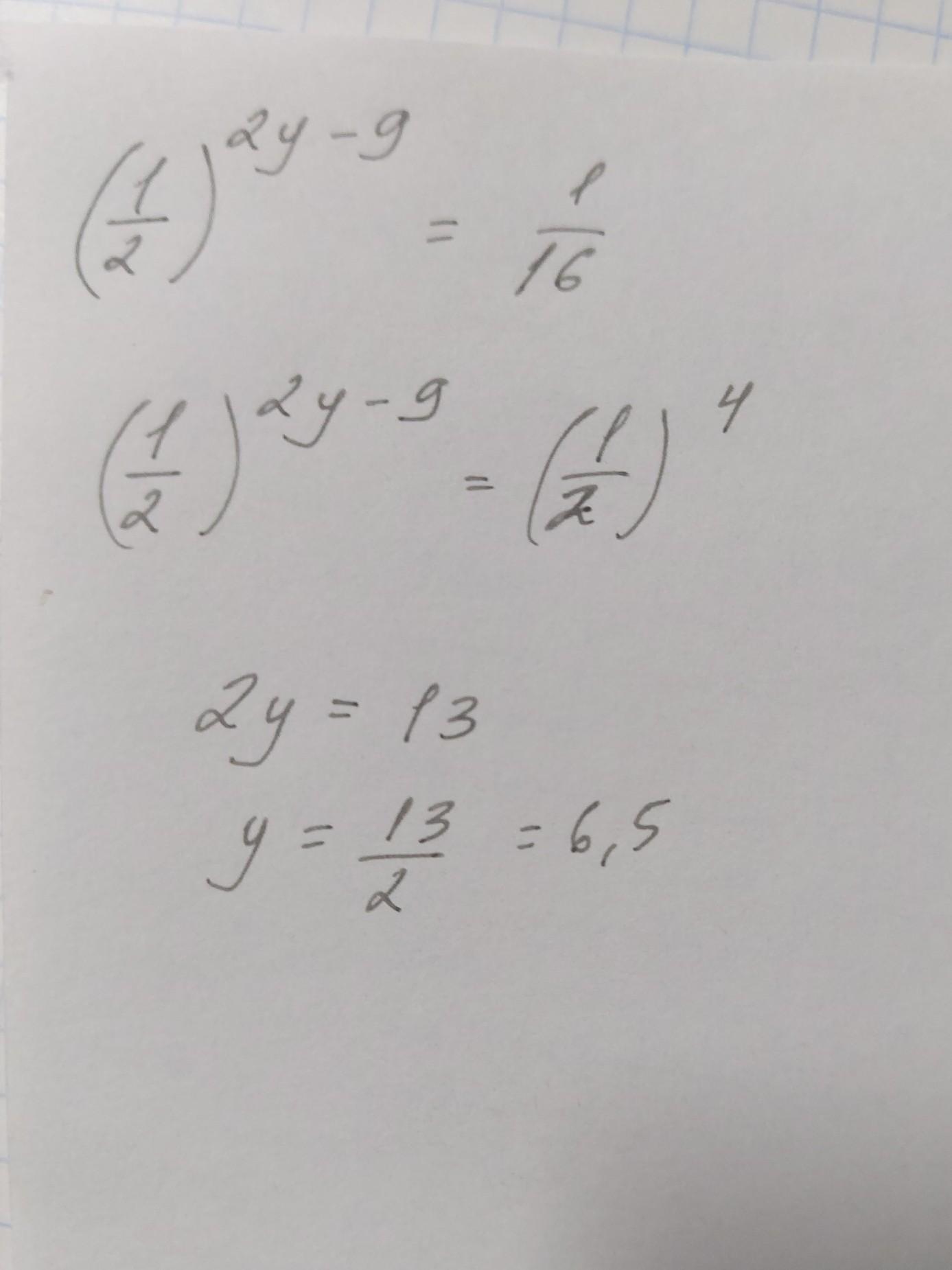
2^-2y-9=2^-4
-2y+9=-4
-2y=-4-9
-2y=-13
y=13/2=6,5
-2y+9=-4
-2y=-4-9
-2y=-13
y=13/2=6,5
Kirillpanfil:
ну есть же добрые, умные люди) спасибо
Ответ дал:
0
Ответ:
6.5
Объяснение:
.......... ....................
Приложения:

Вас заинтересует
2 года назад
3 года назад
3 года назад
8 лет назад
8 лет назад
9 лет назад