• Предмет: Алгебра
  • Автор: leravasilati
  • Вопрос задан 8 лет назад

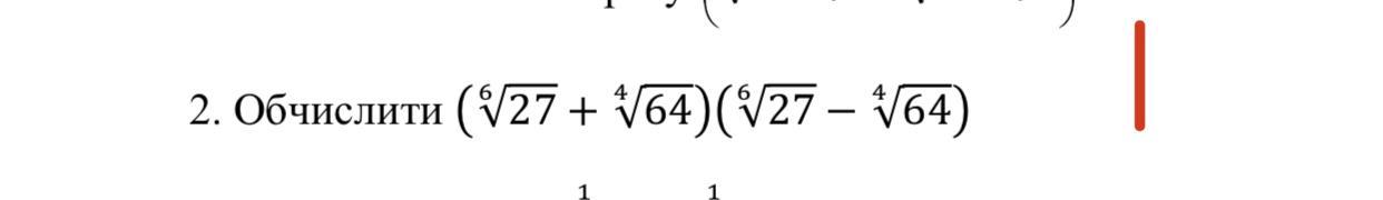
Вычислить выражение (спасибо)

Приложения:

Ответы

Ответ дал: Avantgardе
0

\displaystyle(\sqrt[6]{27}+\sqrt[4]{64})(\sqrt[6]{27}-\sqrt[4]{64})=27^\frac16\cdot27^\frac16-27^\frac16\cdot64^\frac14+64^\frac14\cdot27^\frac16-64^\frac14\cdot64^\frac14=

\displaystyle=27^\frac13-64^\frac14(27^\frac16-27^\frac16)-64^\frac12=\sqrt[3]{27}-64^\frac14(27^\frac16-27^\frac16)-\sqrt{64}=

\displaystyle=3-64^\frac14\cdot0-8=3-8=-5

Вас заинтересует