• Предмет: Математика
  • Автор: matutopcic
  • Вопрос задан 7 лет назад

ОЧЕНЬ СРОЧНО, ЗАДАЧА С МАТИМАТИКИ! ДАЮ 33б!

Приложения:

olgaua64: Можна рівняння написати коректно, без зайвих символів?

Ответы

Ответ дал: olgaua64
1

Відповідь:

Покрокове пояснення:

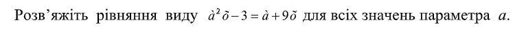
Замість о запишемо х

а²х-3=а+9х

х(а²-9)=а+3

х=(а+3)/(а²-3²)

х=1/(а-3)

Якщо а=3, то рівняння не має розв'язків, якщо а=-3, то рівняння має безліч розв'язків,

Якщо |а|≠3, то х=1/(а-3)

Вас заинтересует