• Предмет: Алгебра
  • Автор: Kr1Sp1
  • Вопрос задан 7 лет назад

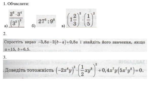
Алгебра 7 класс помогите решить Пожалуйста очень срочно.​

Приложения:

kolesnuknik: мне тоже надо

Ответы

Ответ дал: ValerkaKaktus
0

Объяснение:

а) 3¹⁰/3⁹=3

б)9⁶*3⁶:9⁸=3⁶/9²

Дальше сам решай


Kr1Sp1: Мне а б и не надо я их решил мне остальное нужно
Ответ дал: kolcinanasta852
1

я не уверена за 2) , а так вроде всё.

Приложения:

Kr1Sp1: Спасибі большое
Вас заинтересует