• Предмет: Математика
  • Автор: nadezdakolesnikova
  • Вопрос задан 7 лет назад

помогите пожалуйста
Ответы должны быть не в дроби ​

Приложения:

Ответы

Ответ дал: sofiyavictoria
0

Ответ:

Пошаговое объяснение:

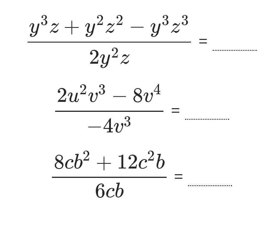
Преобразуем числители этих дробей, путем вынесения за скобки общего множителя

1). у^2z*(y+z-yz^2)/2y^2z=1/2*(y+z-yz^2)

2). 2v^3*(u^2-4v)/(-4v^3)= -1/4*(u^2-4v)

3). 4cb*(2b+3c)/6cb=2/3*(2b+3c)

Вас заинтересует