• Предмет: Физика
  • Автор: Kатьkа
  • Вопрос задан 10 лет назад

Решите пожалуйста 2 задачи по физике:
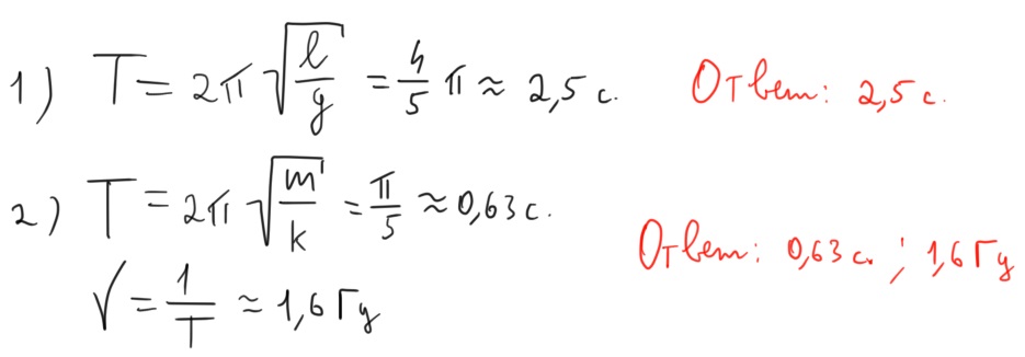
1.Чему равен период колебаний маятника,длина нити которого равна 28 см,на Луне?Ускорение свободного падения на Луне 1,75 м/с²
2.Определите период и частоту колебаний пружинного маятника,если жесткость его пружины равна 100 Н/м,а масса груза 1 кг.

Ответы

Ответ дал: nikolac
0
Решение на картинке.
Приложения:
Ответ дал: Kатьkа
0
спасибо!
Ответ дал: nikolac
0
Не за что.
Вас заинтересует