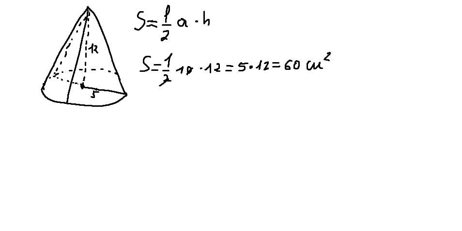
радіус основи конуса дорівнює 5 см, а його висота — 12 см. Знайти площу
осьового перерізу конуса
Ответы
Ответ дал:
0
Ответ:
png
Объяснение:
Приложения:

TarasYashchuk:
Если не сложно ставь лучший ответ
Ответ дал:
1
Площадь осевого сечения конуса находится по формуле: S=1/2·D·h, где D – диаметр, h – высота. Решение: D=2·r=2·5=10 (см); S=1/2·10·12=5·12=60 см² – это ответ.
Приложения:

Вас заинтересует
2 года назад
3 года назад
3 года назад
8 лет назад
9 лет назад