• Предмет: Алгебра
  • Автор: nikashariy0106
  • Вопрос задан 8 лет назад

помогите решить пожайлуста ​

Приложения:

Ответы

Ответ дал: homeworker67
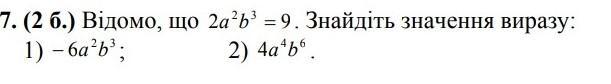
1

Ответ:

2) 4a⁴b⁶

Объяснение:

Я все сосчитал , правильно только второе .

Вас заинтересует