СРОЧНО , ДАЮ 100 БАЛЛОВ .Скласти формулу оксиду елемента першої групи головної підгрупи з порядковим номером – 19. Знайти кількість протонів, електронів, нейтронів в атомі. Розрахувати масові частки елементів в оксиді. Записати рівняння реакції утворення гідрату оксиду елемента
Ответы
Ответ дал:
1
Ответ:
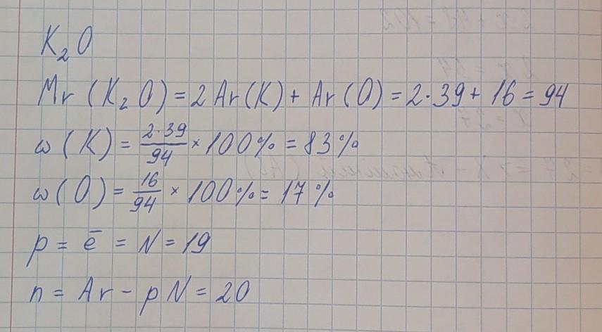
формула оксиду: К2О
протонів: 19
електронів: 19
нейтронів: 20
масова частка Калію: 83%
масова частка Оксигену: 17%
Приложения:
Вас заинтересует
2 года назад
2 года назад
3 года назад
3 года назад
9 лет назад
9 лет назад
10 лет назад
10 лет назад