помогите пж,это на пайтоне , за тупые ответы кину жалобу ​

Приложения:

Ответы

Ответ дал: machine1990
1

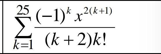
x может быть, я так понимаю, любым?

import math

x = 2

summa = 0

for k in range(1, 26):

   summa += (((-1)**k)*x**(2*(k+1)))/((k+2)*math.factorial(k))

print(summa)

Вас заинтересует
2 года назад